qDx=qDx(m,px,py)

ΔqDxΔpx<0
The law of demand: as the price of a good rises, people will tend to buy less of that good (and vice versa)

The price effect (law of demand) is actually the net result of two effects
The price effect (law of demand) is actually the net result of two effects
The price effect (law of demand) is actually the net result of two effects
(Real) income effect: change in consumption due to change in real purchasing power
Substitution effect: change in consumption due to change in relative prices
The price effect (law of demand) is actually the net result of two effects
(Real) income effect: change in consumption due to change in real purchasing power
Substitution effect: change in consumption due to change in relative prices
Price Effect = Real income effect + Substitution Effect
Suppose there is only 1 good to consume, x. You have a $100 income, and the price of x is $10. You consume 10 units of x
Suppose the price of x falls to $5. Your now consume 20 units of x.
This is the real income effect

Real income effect: your consumption mix changes because of the change in the price of x changes your real income or purchasing power (the amount of goods you can buy)
Note your actual (nominal) income ($100) never changed!

The size of the income effect depends on how large a portion of your budget you spend on the good
Large-budget items:

The size of the income effect depends on how large a portion of your budget you spend on the good
Small-budget items:

Suppose there are 1000's of goods, none of them a major part of your budget
Suppose the price of one good, x increases
You would consume less of x relative to other goods because x is now relatively more expensive
That's the substitution effect

Substitution effect: consumption mix changes because of a change in relative prices
Buy more of the (now) relatively cheaper items
Buy less of the (now) relatively more expensive item (x)

Price Effect = Real income effect + Substitution Effect

Original optimal consumption (A)
(Total) price effect: A→C
Let's decompose this into the two effects


Substitution effect: what you would choose under the new exchange rate to remain indifferent as before the change
Graphically: shift new budget constraint inwards until tangent with old indifference curve
A→B on same I.C. (↑ x, ↓ y)

Substitution effect: what you would choose under the new exchange rate to remain indifferent as before the change
Graphically: shift new budget constraint inwards until tangent with old indifference curve
A→B on same I.C. (↑ x, ↓ y)


(Real) income effect: change in consumption due to the change in purchasing power from the change in price
B→C to new budget constraint (can buy more of x and/or y)

(Real) income effect: change in consumption due to the change in purchasing power from the change in price
B→C to new budget constraint (can buy more of x and/or y)


Original optimal consumption (A)
Price of x falls, new optimal consumption at (C)

Original optimal consumption (A)
Price of x falls, new optimal consumption at (C)
Substitution effect: A→B on same I.C. (↑ cheaper x and ↓ y)

Original optimal consumption (A)
Price of x falls, new optimal consumption at (C)
Substitution effect: A→B on same I.C. (↑ cheaper x and ↓ y)
(Real) income effect: B→C to new budget constraint (can buy more of x and/or y)

Original optimal consumption (A)
Price of x falls, new optimal consumption at (C)
Substitution effect: A→B on same I.C. (↑ cheaper x and ↓ y)
(Real) income effect: B→C to new budget constraint (can buy more of x and/or y)
(Total) price effect: A→C


What about an inferior good (Ramen)?
Substitution effect: A→B on same I.C. (↑ cheaper x and ↓ y)

What about an inferior good (Ramen)?
Substitution effect: A→B on same I.C. (↑ cheaper x and ↓ y)
(Real) income effect: B→C to new budget constraint (can buy more of x and/or y) is negative

What about an inferior good (Ramen)?
Substitution effect: A→B on same I.C. (↑ cheaper x and ↓ y)
(Real) income effect: B→C to new budget constraint (can buy more of x and/or y) is negative
(Total) price effect: A→C

What about an inferior good (Ramen)?
Substitution effect: A→B on same I.C. (↑ cheaper x and ↓ y)
(Real) income effect: B→C to new budget constraint (can buy more of x and/or y) is negative
(Total) price effect: A→C
Price effect is still an ↑x from a ↓px!
The law of demand holds, even for inferior goods!

Example: What would it take to violate the law of demand?
Price Effect = Real income effect + Substitution Effect
Substitution effect: is always in the direction of the cheaper good
Real Income effect: can be positive (normal) or negative (inferior)
Law of Demand/Demand curves slope downwards (Price effect) mostly because of the substitution effect
Exception in the theoretical Giffen good: negative R.I.E. > S.E.








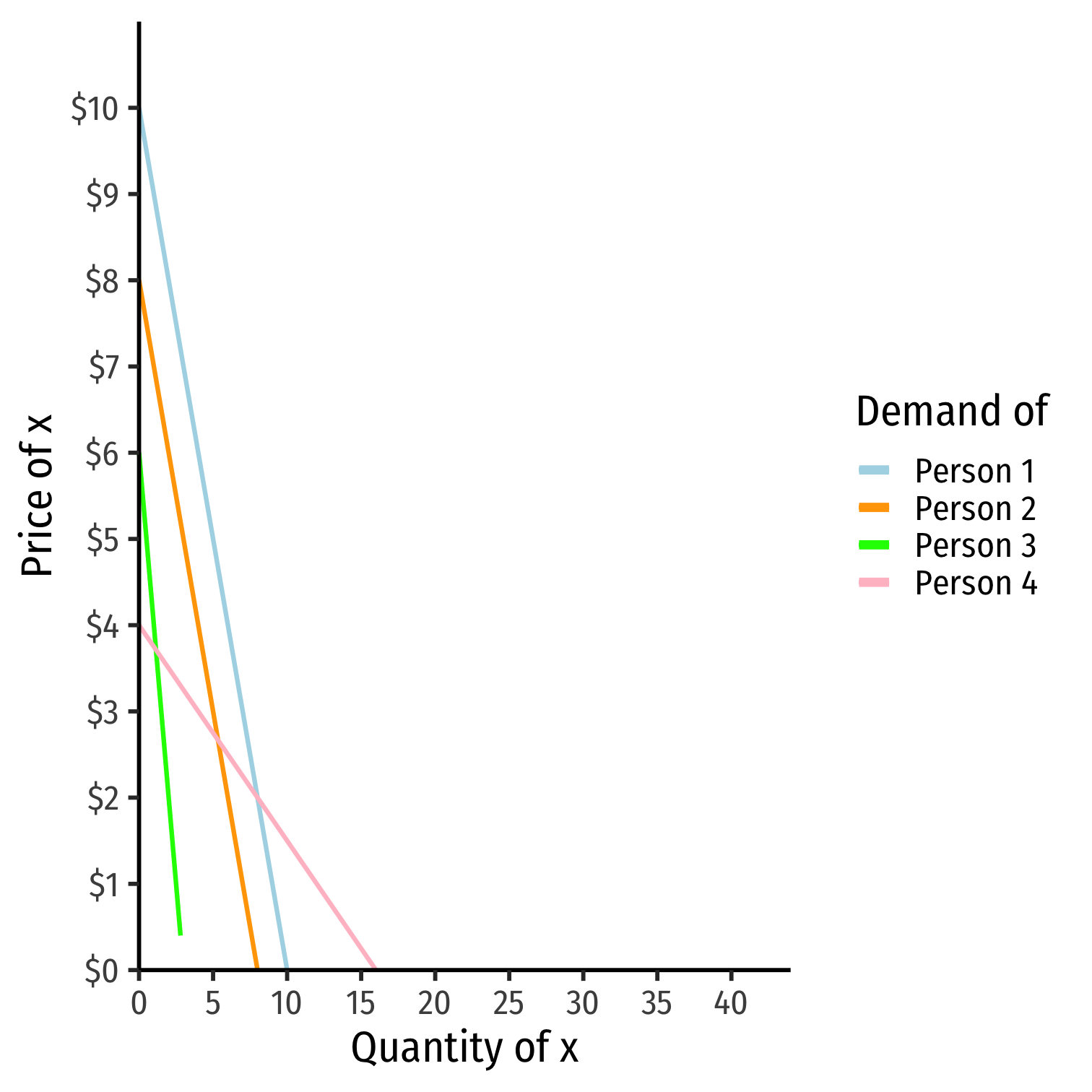
Note so far we have been talking about an individual person’s demand
In principles, you learned about the entire market demand

Note so far we have been talking about an individual person’s demand
In principles, you learned about the entire market demand
This is simply the sum of all individuals’ demands

Demand schedule expresses the quantity of good a person(s) would be willing to buy (qD) at any given price (px)
Note: each of these is a consumer's optimum at a given price!
| price | quantity |
|---|---|
| 10 | 0 |
| 9 | 1 |
| 8 | 2 |
| 7 | 3 |
| 6 | 4 |
| 5 | 5 |
| 4 | 6 |
| 3 | 7 |
| 2 | 8 |
| 1 | 9 |
| 0 | 10 |
Demand curve graphically represents the demand schedule
Also measures a person's maximum willingness to pay (WTP) for a given quantity
Law of Demand (price effect) ⟹ demand curves always slope downwards

Example: q=10−p
Example: p=10−q

Example: p=10−q

Read two ways:
Horizontally: at any given price, how many units person wants to buy
Vertically: at any given quantity, the maximum willingness to pay (WTP) for that quantity

Example: q=10−p or p=10−q
What about all the other "determinants of demand" like income and other prices?
They are captured in the vertical intercept (choke price)!

A change in one of the "determinants of demand" will shift demand curve!
Shows up in (inverse) demand function by a change in intercept (choke price)!
See my Visualizing Demand Shifters

Keyboard shortcuts
| ↑, ←, Pg Up, k | Go to previous slide |
| ↓, →, Pg Dn, Space, j | Go to next slide |
| Home | Go to first slide |
| End | Go to last slide |
| Number + Return | Go to specific slide |
| b / m / f | Toggle blackout / mirrored / fullscreen mode |
| c | Clone slideshow |
| p | Toggle presenter mode |
| t | Restart the presentation timer |
| ?, h | Toggle this help |
| o | Tile View: Overview of Slides |
| Esc | Back to slideshow |
qDx=qDx(m,px,py)

ΔqDxΔpx<0
The law of demand: as the price of a good rises, people will tend to buy less of that good (and vice versa)

The price effect (law of demand) is actually the net result of two effects
The price effect (law of demand) is actually the net result of two effects
The price effect (law of demand) is actually the net result of two effects
(Real) income effect: change in consumption due to change in real purchasing power
Substitution effect: change in consumption due to change in relative prices
The price effect (law of demand) is actually the net result of two effects
(Real) income effect: change in consumption due to change in real purchasing power
Substitution effect: change in consumption due to change in relative prices
Price Effect = Real income effect + Substitution Effect
Suppose there is only 1 good to consume, x. You have a $100 income, and the price of x is $10. You consume 10 units of x
Suppose the price of x falls to $5. Your now consume 20 units of x.
This is the real income effect

Real income effect: your consumption mix changes because of the change in the price of x changes your real income or purchasing power (the amount of goods you can buy)
Note your actual (nominal) income ($100) never changed!

The size of the income effect depends on how large a portion of your budget you spend on the good
Large-budget items:

The size of the income effect depends on how large a portion of your budget you spend on the good
Small-budget items:

Suppose there are 1000's of goods, none of them a major part of your budget
Suppose the price of one good, x increases
You would consume less of x relative to other goods because x is now relatively more expensive
That's the substitution effect

Substitution effect: consumption mix changes because of a change in relative prices
Buy more of the (now) relatively cheaper items
Buy less of the (now) relatively more expensive item (x)

Price Effect = Real income effect + Substitution Effect

Original optimal consumption (A)
(Total) price effect: A→C
Let's decompose this into the two effects


Substitution effect: what you would choose under the new exchange rate to remain indifferent as before the change
Graphically: shift new budget constraint inwards until tangent with old indifference curve
A→B on same I.C. (↑ x, ↓ y)

Substitution effect: what you would choose under the new exchange rate to remain indifferent as before the change
Graphically: shift new budget constraint inwards until tangent with old indifference curve
A→B on same I.C. (↑ x, ↓ y)


(Real) income effect: change in consumption due to the change in purchasing power from the change in price
B→C to new budget constraint (can buy more of x and/or y)

(Real) income effect: change in consumption due to the change in purchasing power from the change in price
B→C to new budget constraint (can buy more of x and/or y)


Original optimal consumption (A)
Price of x falls, new optimal consumption at (C)

Original optimal consumption (A)
Price of x falls, new optimal consumption at (C)
Substitution effect: A→B on same I.C. (↑ cheaper x and ↓ y)

Original optimal consumption (A)
Price of x falls, new optimal consumption at (C)
Substitution effect: A→B on same I.C. (↑ cheaper x and ↓ y)
(Real) income effect: B→C to new budget constraint (can buy more of x and/or y)

Original optimal consumption (A)
Price of x falls, new optimal consumption at (C)
Substitution effect: A→B on same I.C. (↑ cheaper x and ↓ y)
(Real) income effect: B→C to new budget constraint (can buy more of x and/or y)
(Total) price effect: A→C


What about an inferior good (Ramen)?
Substitution effect: A→B on same I.C. (↑ cheaper x and ↓ y)

What about an inferior good (Ramen)?
Substitution effect: A→B on same I.C. (↑ cheaper x and ↓ y)
(Real) income effect: B→C to new budget constraint (can buy more of x and/or y) is negative

What about an inferior good (Ramen)?
Substitution effect: A→B on same I.C. (↑ cheaper x and ↓ y)
(Real) income effect: B→C to new budget constraint (can buy more of x and/or y) is negative
(Total) price effect: A→C

What about an inferior good (Ramen)?
Substitution effect: A→B on same I.C. (↑ cheaper x and ↓ y)
(Real) income effect: B→C to new budget constraint (can buy more of x and/or y) is negative
(Total) price effect: A→C
Price effect is still an ↑x from a ↓px!
The law of demand holds, even for inferior goods!

Example: What would it take to violate the law of demand?
Price Effect = Real income effect + Substitution Effect
Substitution effect: is always in the direction of the cheaper good
Real Income effect: can be positive (normal) or negative (inferior)
Law of Demand/Demand curves slope downwards (Price effect) mostly because of the substitution effect
Exception in the theoretical Giffen good: negative R.I.E. > S.E.








Note so far we have been talking about an individual person’s demand
In principles, you learned about the entire market demand

Note so far we have been talking about an individual person’s demand
In principles, you learned about the entire market demand
This is simply the sum of all individuals’ demands

Demand schedule expresses the quantity of good a person(s) would be willing to buy (qD) at any given price (px)
Note: each of these is a consumer's optimum at a given price!
| price | quantity |
|---|---|
| 10 | 0 |
| 9 | 1 |
| 8 | 2 |
| 7 | 3 |
| 6 | 4 |
| 5 | 5 |
| 4 | 6 |
| 3 | 7 |
| 2 | 8 |
| 1 | 9 |
| 0 | 10 |
Demand curve graphically represents the demand schedule
Also measures a person's maximum willingness to pay (WTP) for a given quantity
Law of Demand (price effect) ⟹ demand curves always slope downwards

Example: q=10−p
Example: p=10−q

Example: p=10−q

Read two ways:
Horizontally: at any given price, how many units person wants to buy
Vertically: at any given quantity, the maximum willingness to pay (WTP) for that quantity

Example: q=10−p or p=10−q
What about all the other "determinants of demand" like income and other prices?
They are captured in the vertical intercept (choke price)!

A change in one of the "determinants of demand" will shift demand curve!
Shows up in (inverse) demand function by a change in intercept (choke price)!
See my Visualizing Demand Shifters
