We now can explore the dynamics of how individuals optimally respond to changes in their constraints
We know the problem is:
Choose: < a consumption bundle >
In order to maximize: < utility >
Subject to: < income and market prices >

qDx=qDx(m,px,py)

qDx=qDx(m,px,py)

qDx=qDx(m,px,py)

qDx=qDx(m,px,py)

ΔqDΔm>?<0


Consider football tickets and vacation days
Suppose income (m) increases

Consider football tickets and vacation days
Suppose income (m) increases
At new optimum (B), consumes more of both
Then both goods are normal goods


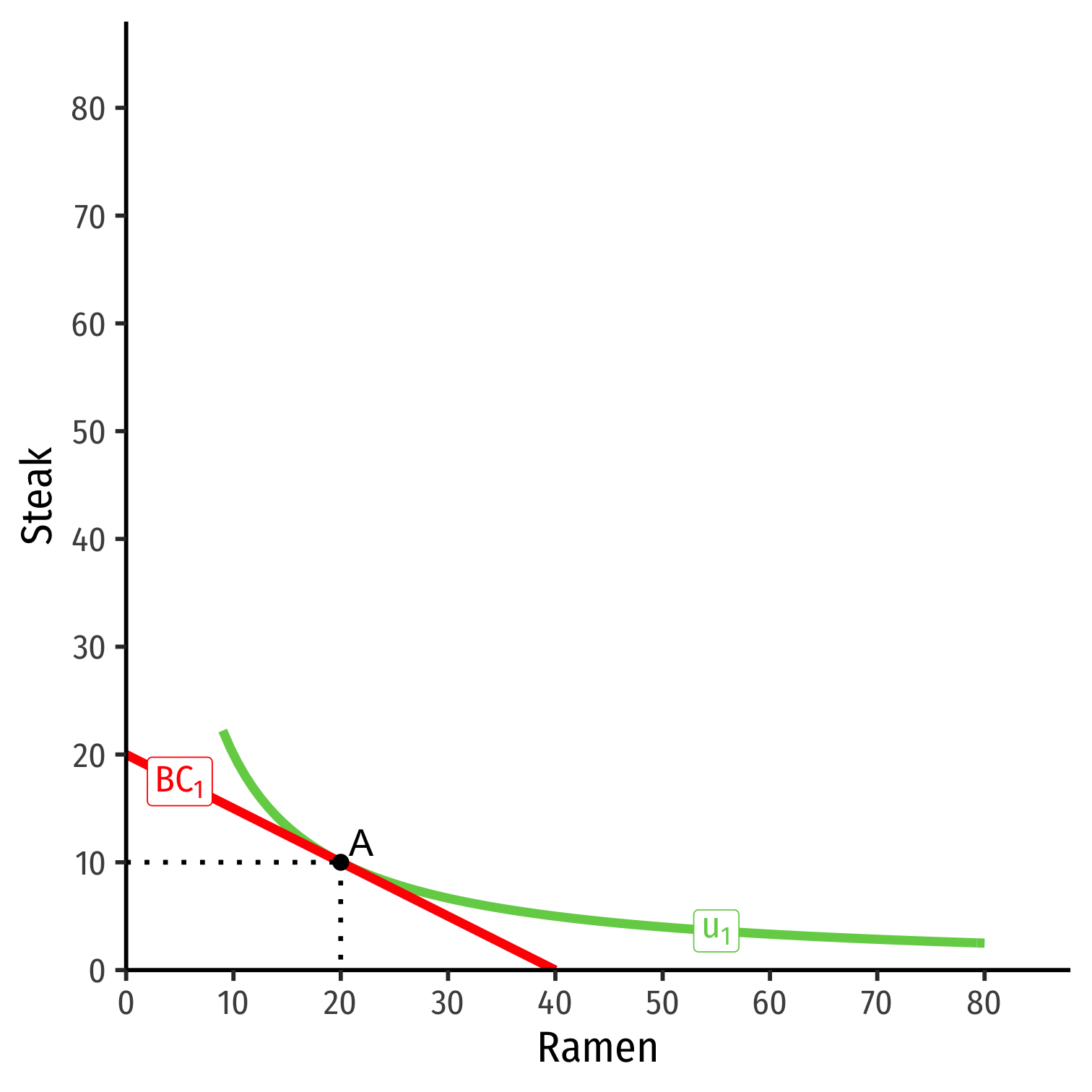
Consider ramen and steak
Suppose income (m) increases

Consider ramen and steak
Suppose income (m) increases
At new optimum (B), consumes more steak, less ramen
Steak is a normal good, ramen is an inferior good

ΔqDΔm>?<0
Normal goods: consumption increases with more income (and vice versa)
Inferior goods: consumption decreases with more income (and vice versa)

Several ways we can talk about how a measure changes over time, from time t1→t2
Difference (Δ): the difference between the value at time t1 and time t2 Δt=t2−t1
Several ways we can talk about how a measure changes over time, from time t1→t2
Difference (Δ): the difference between the value at time t1 and time t2 Δt=t2−t1
Relative Difference: the difference expressed in terms of the original value Δtt1=t2−t1t1 this becomes a proportion (a decimal)
%Δ=Δtt1×100%=t2−t1t1×100%
Example: A country's GDP is $100bn in 2019, and $120bn in 2020. Calculate the country's GDP growth rate for 2020:
ϵy,x=%Δy%Δx=ΔyyΔxx
ϵy,x=%Δy%Δx=ΔyyΔxx
An elasticity between any two variables y and x describes the responsiveness of a variable (y) to a change in another (x).
Interpretation: ϵy,x= the percentage change in y from a 1% change in x
ϵy,x=%Δy%Δx=ΔyyΔxx
An elasticity between any two variables y and x describes the responsiveness of a variable (y) to a change in another (x).
Interpretation: ϵy,x= the percentage change in y from a 1% change in x
Unitless: easy comparisons between any 2 variables
ϵq,m=%ΔqD%Δm
ϵq,m=%ΔqD%Δm
ϵq,m=%ΔqD%Δm
ϵq,m=%ΔqD%Δm
ϵq,m=%ΔqD%Δm
%Δq%Δm=(Δqq1)(Δmm1)
Example: You can spend your income on golf and pancakes. Green fees at a local golf course are $10 per round and pancake mix is $2 per box. When your income is $100, you buy 5 boxes of pancake mix and 9 rounds of golf. When your income increases to $120, you buy 10 boxes of pancake mix and 10 rounds of golf.
What type of good is golf (inferior, necessity, luxury)?
What type of good are pancakes (inferior, necessity, or luxury)?
Example: Is the environment a normal good?
Example: Is the environment a normal good?

Example: Is the environment a normal good?

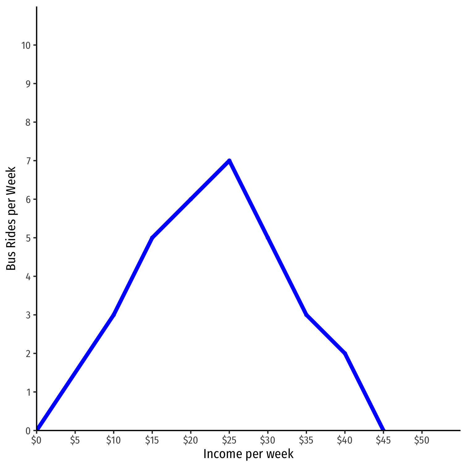
Engel curve visualizes income effects: shows how consumption of one good changes when income increases
When positively sloped: normal good
When negatively sloped: inferior good

ΔqxΔpy>?<0

ϵqx,py=%Δqx%Δpy

ϵqx,py=%Δqx%Δpy=ΔqxqxΔpypy

ϵqx,py=%Δqx%Δpy
If ϵqx,py is positive: goods x and y are substitutes
An rise (fall) in price of y causes more (less) consumption of x

ϵqx,py=%Δqx%Δpy
If ϵqx,py is negative: goods x and y are complements
Goods x and y consumed in a bundle, concern about overall price of bundle
A rise (fall) in price of y causes less (more) consumption of x

Example: You can travel into the city every week on Lyft rides and Uber rides. When Lyft is $20/ride, you ride 10 Uber rides. When Lyft raises prices to $25/ride, you ride 15 Uber rides.
What is the relationship between these two goods?
What is the cross-price elasticity?
We now can explore the dynamics of how individuals optimally respond to changes in their constraints
We know the problem is:
Choose: < a consumption bundle >
In order to maximize: < utility >
Subject to: < income and market prices >

Keyboard shortcuts
| ↑, ←, Pg Up, k | Go to previous slide |
| ↓, →, Pg Dn, Space, j | Go to next slide |
| Home | Go to first slide |
| End | Go to last slide |
| Number + Return | Go to specific slide |
| b / m / f | Toggle blackout / mirrored / fullscreen mode |
| c | Clone slideshow |
| p | Toggle presenter mode |
| t | Restart the presentation timer |
| ?, h | Toggle this help |
| o | Tile View: Overview of Slides |
| Esc | Back to slideshow |
We now can explore the dynamics of how individuals optimally respond to changes in their constraints
We know the problem is:
Choose: < a consumption bundle >
In order to maximize: < utility >
Subject to: < income and market prices >

qDx=qDx(m,px,py)

qDx=qDx(m,px,py)

qDx=qDx(m,px,py)

qDx=qDx(m,px,py)

ΔqDΔm>?<0


Consider football tickets and vacation days
Suppose income (m) increases

Consider football tickets and vacation days
Suppose income (m) increases
At new optimum (B), consumes more of both
Then both goods are normal goods


Consider ramen and steak
Suppose income (m) increases

Consider ramen and steak
Suppose income (m) increases
At new optimum (B), consumes more steak, less ramen
Steak is a normal good, ramen is an inferior good

ΔqDΔm>?<0
Normal goods: consumption increases with more income (and vice versa)
Inferior goods: consumption decreases with more income (and vice versa)

Several ways we can talk about how a measure changes over time, from time t1→t2
Difference (Δ): the difference between the value at time t1 and time t2 Δt=t2−t1
Several ways we can talk about how a measure changes over time, from time t1→t2
Difference (Δ): the difference between the value at time t1 and time t2 Δt=t2−t1
Relative Difference: the difference expressed in terms of the original value Δtt1=t2−t1t1 this becomes a proportion (a decimal)
%Δ=Δtt1×100%=t2−t1t1×100%
Example: A country's GDP is $100bn in 2019, and $120bn in 2020. Calculate the country's GDP growth rate for 2020:
ϵy,x=%Δy%Δx=ΔyyΔxx
ϵy,x=%Δy%Δx=ΔyyΔxx
An elasticity between any two variables y and x describes the responsiveness of a variable (y) to a change in another (x).
Interpretation: ϵy,x= the percentage change in y from a 1% change in x
ϵy,x=%Δy%Δx=ΔyyΔxx
An elasticity between any two variables y and x describes the responsiveness of a variable (y) to a change in another (x).
Interpretation: ϵy,x= the percentage change in y from a 1% change in x
Unitless: easy comparisons between any 2 variables
ϵq,m=%ΔqD%Δm
ϵq,m=%ΔqD%Δm
ϵq,m=%ΔqD%Δm
ϵq,m=%ΔqD%Δm
ϵq,m=%ΔqD%Δm
%Δq%Δm=(Δqq1)(Δmm1)
Example: You can spend your income on golf and pancakes. Green fees at a local golf course are $10 per round and pancake mix is $2 per box. When your income is $100, you buy 5 boxes of pancake mix and 9 rounds of golf. When your income increases to $120, you buy 10 boxes of pancake mix and 10 rounds of golf.
What type of good is golf (inferior, necessity, luxury)?
What type of good are pancakes (inferior, necessity, or luxury)?
Example: Is the environment a normal good?
Example: Is the environment a normal good?

Example: Is the environment a normal good?

Engel curve visualizes income effects: shows how consumption of one good changes when income increases
When positively sloped: normal good
When negatively sloped: inferior good

ΔqxΔpy>?<0

ϵqx,py=%Δqx%Δpy

ϵqx,py=%Δqx%Δpy=ΔqxqxΔpypy

ϵqx,py=%Δqx%Δpy
If ϵqx,py is positive: goods x and y are substitutes
An rise (fall) in price of y causes more (less) consumption of x

ϵqx,py=%Δqx%Δpy
If ϵqx,py is negative: goods x and y are complements
Goods x and y consumed in a bundle, concern about overall price of bundle
A rise (fall) in price of y causes less (more) consumption of x

Example: You can travel into the city every week on Lyft rides and Uber rides. When Lyft is $20/ride, you ride 10 Uber rides. When Lyft raises prices to $25/ride, you ride 15 Uber rides.
What is the relationship between these two goods?
What is the cross-price elasticity?